PROTEIN
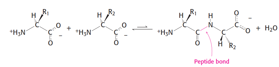
Protein merupakan suatu polimer yang dibentuk oleh asam-asam amino. Asam amino akan terhubung dengan asam amino lainnya melalui gugus α-karboksil. Ikatan antara asam amino satu dengan asam amino lainnya melalui gugus α-karboksil dinamakan dengan ikatan peptida atau ikatan amida. Pembentukan ikatan peptida antara dua asam amino dinamakan dengan dipeptida (Gambar 1).
Gambar 1. Pembentukkan ikatan peptida. Gabungan dari dua asam asam amino diikuti oleh lepasnya satu molekul air. (Sumber: Biochemistry, 7th Edition W.H. Freeman and Company)
Dari reaksi kesetimbangan pada Gambar 1, reaksi lebih condong ke kiri atau ke arah degradasi ikatan peptida. Karena pada saat proses pembentukkan (biosintesis) ikatan peptida reaksi membutuhkan energi yang cukup besar sehingga proses biosintesis berlangsung sangat lambat, sedangkan ketika proses degradasi dipeptida ke bentuk asam amino, energi yang dibutuhkan tidak terlalu besar. Dengan demikian, proses degradasi ikatan peptida lebih cepat dibandingkan proses biosintesis ikatan peptida. Meskipun demikian, ikatan peptida secara kinetik sangat stabil (tanpa katalis) sehingga menyebabkan laju hidrolisis menjadi sangat lambat. Diketahui bahwa waktu hidup ikatan peptida dalam larutan berair tanpa katalis sekitar 1000 tahun. (Berg, 2012)
POLIPEPTIDA
Sederetan asam amino yang bergabung melalui ikatan peptida dinamakan dengan rantai polipeptida. Polipeptida disusun oleh lebih dari dua asam amino yang dihubungkan melalui ikatan peptida. Setiap asam amino yang menyusun rantai polipeptida dinamakan dengan residu. Rantai poliptida memiliki polaritas tertentu. Kepolaran dari suatu rantai polipeptida disebabkan oleh adanya dua ujung rantai polipeptida yang berbeda muatan. Kedua ujung rantai polipeptida terdiri dari ujung -N (N-terminal) dan ujung -C (C-terminal). Ujung N merupakan ujung asam amino yang diakhiri oleh gugus α-amino, sedangkan ujung C merupakan ujung asam amino yang diakhiri oleh gugus α-karboksil. N-terminal selalu menjadi awalan dari penyusunan suatu rantai polipeptida, sedangkan C-terminal selalu menjadi akhiran dalam penyusunan suatu rantai polipepida. Misalnya, pada rantai pentapepida Tyr-Gly-Gly-Phe-Leu (RGGFL), maka asam amino tirosin merupakan asam amino dengan ujung N (N-terminal), sedangkan asam amino leusin merupakan asam amino dengan ujung C (C-terminal). Struktur asam amino pentapeptida tersebut dapat dilihat pada Gambar 2.
Gambar 2. Urutan asam amino dengaan arahnya.
(Sumber: Biochemistry, 7th Edition W.H. Freeman and Company)
Rantai polipeptida mengandung struktur berulang yang sangat teratur, yang dikenal dengan rantai utama atau tulang punggung asam amino. Selain struktur berulang yang sangat teratur, rantai polipeptida juga mengandung struktur yang berubah-ubah. Struktur yang berubah-ubah pada rantai polipeptida disebut dengan rantai samping asam amino (Gambar 3).
Gambar 3. Komponen-komponen rantai polipeptida. Rantai polipeptida mengandung tulang punggung yang berulang (rantai utama penyusun polipeptida ditandai dengan warna hitam) dan rantai samping yang berubah-ubah (gugus R yang ditandai dengan warna hijau). (Sumber: Biochemistry, 7th Edition W.H. Freeman and Company)
Tulang punggung rantai polipeptida sangat kaya akan ikatan hidrogen. Masing-masing residu asam amino mengandung gugus karbonil (–C=O). Gugus karbonil dari setiap residu asam amino merupakan gugus penarik atau akseptor proton (atom H), kecuali prolin. Prolin tidak dapat menarik atom H, karena prolin memiliki gugus -NH. Interaksi antara asam amino satu dengan asam amino lainnya dan interaksi antara gugus fungsi dari setiap rantai samping asam amino berfungsi untuk menstabilisasi struktur protein (rantai polipeptida) tersebut.
Sebagian besar rantai polipeptida mengandung 50 - 2000 residu asam amino dan biasanya disebut sebagai protein. Protein paling besar yaitu protein penyusun jaringan otot (protein titin). Protein titin mengandung lebih dari 27000 asam amino (Breg, 2012). Protein titin dikode oleh gen TTN dan sangat penting dalam proses kontraksi jaringan otot. Peptida yang disusun dari sebagian kecil asam amino disebut dengan oligopeptida dan merupakan peptida sederhana.
Beberapa protein memiliki rantai polipeptida yang berbentuk linier sebagai akibat dari gabungan asam amino yang sama, misalnya gabungan antara dua asam amino sistein menghasilkan rantai polipeptida sistin yang ikatannya disebut dengan ikatan disulfida. Pembentukan sistin terjadi karena proses oksidasi antara residu sistein dengan residu sistein lagi (Gambar 4).
Gambar 4. Oksidasi sistein menjadi sistin. Pembentukan ikatan disulfida melalui oksidasi residu sistein. (Sumber: Biochemistry, 7th Edition W.H. Freeman and Company)
Sebagian protein ekstraseluler dapat membentuk ikatan disulfida (linier), sedangkan sebagian besar protein intraseluler sulit dalam membentuk ikatan disulfida. Jarang sekali ikatan disulfida terbentuk pada rantai samping protein. Seperti, serat kolagen yang dapat menyambung suatu jaringan dengan lebih kuat berupa gumpalan darah (fibrin).
Gambar 5. Polipeptida sebagai poliampolit. (Sumber: Fundamentals of Biochemistry, 2/e John Willey and Sons)
Kurva titrasi dari tetrapeptida pada Gambar 5 terdapat gugus-gugus bermuatan +, - , dan ∙(nol) dengan suasana pH yang berbeda. Jumlah total muatan ditandai dengan lingkaran putus-putus. Polipeptida sebagai poliampolit ditandai dengan adanya dua muatan yang berbeda pada setiap residu asam amino penyusun rantai polipeptida tersebut.





Keren terus menebar ilmu yg bermanfaat
ReplyDeleteHanya bisa menyimak, tapi keren bisa menambah pengetahuan
ReplyDelete